RD-blog-number-3746 by Herb Zinser
EARTH LANGUAGE of Tesla EARTH waves and Schuman resonance and BRAIN LANGUAGE
uses Nature’s SYMBOL MACHINE to understand EARTH LANGUAGE and the Tesla EARTH waves expression system.
Nature’s SYMBOL MACHINE is comprised of nouns, verbs, concepts, math equations, flowcharts, etc. The ideas found in math and science textbooks are part of the SYMBOL MACHINE.
Let’s look at Tesla concepts.
Terrestrial stationary waves — Wikipedia, the free encyclopedia
en.wikipedia.org/wiki/Terrestrial_stationary_waves
Wikipedia
It was considered by Nikola Tesla to be his most important discovery. Earth’s surface constitutes an interface that supports the wave. On July 3, 1899, Tesla …
Tesla’s Earthquake Machine — The Excluded Middle
www.excludedmiddle.com/earthquake.htm
For the past few years, he had pondered the sigificance of waves and resonance … A vibration sent through the earth returns an “echo signature” using the same …

An example of an EARTH geography wave region is the State of Wisconsin ..the atomic underground social science language
And Euler’s equation ….. E + ul + let → Earth atomic mathematical-physics ……
underground letters / alphabets/algebra with
Eu = Euler of Europe … rope(string theory SOFTWARE links ..connecting)
Switzerland to SWI → South Wisconsin region ……
Wit = Oscar Witt farm
(1930 to 1950)
Zer → becomes the
Zinser farm (far m → faraday, Michael earth geography land as an atomic surface … an electron platform that humans exist upon)
Switzerland & COMPUTER EARTH
Switzerland
Switzer … land
→ local area network Data → 4‑legged Holstein milk
DAIRY cow data of the milk and beef protein THOUGHT molecules that supply 2‑legged humans with the Holy Cow of India social behaviour guidelines …. and other family ideas
Wisconsin earth .… subset codes
.….…. sine wave LAND /soil/ground / Landau geo-physics

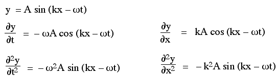
Above, the TRUE NATURE of existence .. of Wisconsin sin waves and sin equations.



Oshkosh, Wisconsin — Wikipedia, the free encyclopedia
en.wikipedia.org/wiki/Oshkosh,_Wisconsin
Wikipedia
Oshkosh is a city in Winnebago County, Wisconsin, United States, located where the Fox River enters Lake Winnebago from the west. The population was …
Oshkosh, Wisconsin
Os .….….….….. sin
Oscillating .….….sin waves city in the STATE of sin waves –> wis + con + sin
Thus we see the fundamental FORMAT of all varieties and formats of bio-physics human life and expression on Wisconsin
.….…… are based on oscillating waves .….…. vibrations.

Now, Let’s look at Schumann concepts .….….…
The Discovery of Schumann Resonance — Earth Breathing
www.earthbreathing.co.uk/sr.htm
Due to their extremely low frequency these waves could penetrate the earth without resistance and thereby Tesla discovered the resonance frequency of the ..
When we consider that the ionosphere surrounding our planet is electrically positive charged whilst the earth’s surface carries a negative charge, we must conclude that this amounts to a prevailing electrical tension within the earth/ionosphere cavity. This tension is discharged when thunderstorms develop in this cavity. In physics two concentric electrically charged balls, one placed inside the other, are called ball condensers, or capacitors.
The inside of the ionosphere layer is used in wireless information transfer to bounce off radio waves emitted by transmitters on the earth’s surface. In this way the information can be transferred over large distances.
The physicist and inventor Nikola Tesla was the first to carry out
It wasn’t until more than half a century later in 1952, when the German physicist Professor W.O.Schumann of the Technical University of Munich predicted that there are electromagnetic standing waves in the atmosphere, within the cavity formed by the surface of the earth and the ionosphere. This came about by Schumann teaching his students about the physics of electricity. During a lesson about ball condensers he asked them to calculate the frequency between the inner and outer ball, meaning the earth and ionosphere layer. They came up with a calculation of 10Hz.
Let’s use EARTH LANGUAGE to understand some words and concepts .….…
and the evolution of resonance –> reson + ance –>to –> reason / sensible thought / thought with math and science.
Thus resonance waves ..over millions of years .. became more organized and structured …hence, modern thought that we occasionally see in year 2015.
The SYMBOL MACHINE word equation
–> Schumann —subset word
–> …human
Thus we ask ourselves.… who are Schumann .…evolved humans ..and what are their characteristics
Schumann … subset letter codes …
.….……nn –> reference to linear algebra President Nixon representing N x N square matrices ..
and the matrices geography wars in Vietnam ..identified by
.….….….…rice fields ..part of Einstein’s field theory which includes matrices.


Definition of the military term column formation
www.militaryfactory.com/dictionary/military-terms-defined.asp?term…
Definition of the United States Department of (Math) Defense military term “column formation “.
(*) A formation in which elements are placed one behind the other.

Who is another Schumann .…evolved human?
Schumann … subset letter codes …
Sch —> Schrodinger and his extension of Schumann waves to wave mechanics

The SYMBOL MACHINE language analysis of word equation
–> Schrodinger
–> Sch + rod + dinger –> translated into resonance WAVE military applications .….…..
–. school gun/rod dillinger/gangster format

In modern times, we have the RESONANCE wave attack at the water continuum .… wave/sand interface ..represented by the Sandy Hook elementary school problems in REASON in making BRAIN thought connections in the
State of MIND ( Connect interface Cut) represented by the Earth geography state of Connecticut.

The Schumann’s Resonances and Human Psychobiology …
www.bibliotecapleyades.net/esp_ondas_shumman_2.htm
Jump to Measuring Brainwaves — EEG Research — MEASURING BRAINWAVES: EEG RESEARCH The resonant cavity
Sandy Hook Elementary School shooting — Wikipedia, the …
en.wikipedia.org/…/Sandy_Hook_Elementary_School_shootin…
Wikipedia
The Sandy Hook Elementary School shooting occurred on December 14, 2012, in Newtown, Connecticut, when 20-year-old Adam Lanza fatally shot 20 children …
Date: December 14, 2012; c. 9:35 am – c. …
Weapons: Bushmaster XM15-E2S; Glock …
Sandy Hook Elementary physics DEMO shooting of Schrodinger parallel processing: What happened? — CNN …
www.cnn.com/interactive/2012/12/us/sandy-hook-timeline/
CNN
Twenty-six people — 20 students and six adults — were shot and killed at the Sandy Hook Elementary School in Newtown, Connecticut on December 14.

The Sandy Hook interface to the DIMENSIONs of expression of the Schrodinger wave equation.
The Multiverse Has 11 Dimensions | Big Think
bigthink.com/videos/the-multiverse-has-11-dimensions‑2
Big Think
There is something that has miserably failed to convince me in string theory. Why the fact that we have not yet discovered other dimensions and mathematical …
M‑Theory: The Mother of all SuperStrings — Michio Kaku
mkaku.org/home/…/m‑theory-the-mother-of-all-superstring…
Michio Kaku
Every decade or so, a stunning breakthrough in string theory sends shock waves racing .… In 11 dimensions,

At Columbine High School we have another example of Nature’s social engineering ERROR .… feedback social process control EXPRESSION system.

The Periodic Table: Families and Periods — For Dummies
www.dummies.com/how-to/…/the-periodic-table-families-and-periods.ht…
Members of the families (vertical columns) in the periodic table have similar properties. … The newer method uses the numbers 1 through 18. So why do the …
Columns –> subset code –> Col –> message site –>
Columbine High School shootings — Facts & Summary …
www.history.com/topics/columbine-high-school-shootings
History
On April 20, 1999, two teens went on a shooting spree at Columbine High School in Littleton, Colorado, killing 13 people and wounding more than 20 others …
Columbine High School atomic mass massacre
The Columbine High School massacre was a school shooting that occurred on April 20, 1999, at Columbine High School in Columbine, an unincorporated area of Jefferson County in the state of Colorado.
In addition to the shootings, the complex and highly planned attack
the complex and highly planned attack
the complex and highly planned attack
the periodic atomic table of elements of life and thought
.… the Margaret Mead atomic nuclear family .….
in a complex and highly planned attack
Suicide of perpetrators
- . Eric Harris, age 18. Committed suicide by a single shot to the mouth.
Periodic table — Wikipedia, the free encyclopedia
en.wikipedia.org/wiki/Periodic_table
Wikipedia
Lanthanides and actinides separated ( 18 columns)
and in the main table (right; 32 columns) … A group or family is a vertical column in the periodic table.
Thus we see the evolution of Tesla waves and oscillations and Schumann resonance …and the wave wars>
In addition, the wave war at Cole Hall ocean class .….……
























































































